Άρθρο 9: Τροποποίηση του ν. 3468/2006 όπως ισχύει

(Άρθρα 4, 15 και 22 και Παραρτήματα II, ΙΙΙ και VII Οδηγίας 2009/28/ΕΚ)

1. Στο άρθρο 15 του ν. 3468/2006 όπως ισχύει προστίθεται παράγραφος 5 ως εξής:

«5. Με όμοια απόφαση μπορεί να προβλέπεται η έκδοση εγγυήσεων προέλευσης και για θέρμανση ή/και ψύξη που παράγεται από ανανεώσιμες πηγές ενέργειας».

2. Το άρθρο 21 του ν. 3468/2006 όπως ισχύει αντικαθίσταται ως ακολούθως:

«Άρθρο 21 Εκθέσεις για την ανανεώσιμη ενέργεια

1. Με μέριμνα της Υπηρεσίας Εξυπηρέτησης Επενδυτών για έργα Α.Π.Ε. της Γενικής Γραμματεία Ενέργειας και Κλιματικής Αλλαγής του Υπουργείου Περιβάλλοντος, Ενέργειας και Κλιματικής Αλλαγής, συντάσσεται έκθεση σχετικά με την πρόοδο που σημειώνεται ως προς την προώθηση και τη χρήση της ενέργειας από ανανεώσιμες πηγές. Η έκθεση αυτή υποβάλλεται, ανά διετία, στην Ευρωπαϊκή Επιτροπή, κατόπιν έγκρισής της από τον Υπουργό Περιβάλλοντος Ενέργειας και Κλιματικής Αλλαγής.

Η έκθεση πρέπει να αναφέρει ιδίως:

α) τα κατά τομέα (ηλεκτρική ενέργεια, θέρμανση και ψύξη, και μεταφορές) και τα συνολικά μερίδια της ενέργειας από ανανεώσιμες πηγές κατά τα προηγούμενα δύο ημερολογιακά έτη και τα μέτρα που έχουν ληφθεί ή προγραμματισθεί σε εθνικό επίπεδο για την προώθηση της ανάπτυξης ενέργειας από ανανεώσιμες πηγές, λαμβανομένης υπόψη της ενδεικτικής πορείας που καθορίζεται στο εθνικό σχέδιο δράσης,

β) την εισαγωγή και τη λειτουργία των καθεστώτων στήριξης και άλλων μέτρων προώθησης της ενέργειας από ανανεώσιμες πηγές, καθώς και την τυχόν εξέλιξη των χρησιμοποιούμενων μέτρων σε σχέση με εκείνα που καθορίζονται στο εθνικό σχέδιο δράσης για την ανανεώσιμη ενέργεια της χώρας , όπως επίσης πληροφορίες σχετικά με τον τρόπο με τον οποίον η ηλεκτρική ενέργεια για την οποία χορηγείται στήριξη κατανέμεται στους τελικούς καταναλωτές,

γ) τον τρόπο με τον οποίον έχουν διαμορφωθεί τα καθεστώτα στήριξης που εφαρμόζονται, ώστε να ληφθούν υπόψη οι εφαρμογές ανανεώσιμης ενέργειας, οι οποίες παρουσιάζουν πρόσθετα πλεονεκτήματα σε σχέση με άλλες συγκρίσιμες εφαρμογές, αλλά οι οποίες μπορεί να έχουν υψηλότερο κόστος, συμπεριλαμβανομένων των βιοκαυσίμων που παράγονται από απόβλητα, υπολείμματα, μη εδώδιμες κυτταρινούχες ύλες και λιγνοκυτταρινούχες ύλες,

δ) τη λειτουργία του συστήματος εγγύησης της προέλευσης της ηλεκτρικής ενέργειας, της θέρμανσης και της ψύξης από ανανεώσιμες πηγές ενέργειας και τα μέτρα που έχουν ληφθεί για τη διασφάλιση της αξιοπιστίας του συστήματος και της προστασίας του από απάτες,

ε) την πρόοδο που έχει σημειωθεί στην αξιολόγηση και τη βελτίωση των διοικητικών διαδικασιών για την άρση των κανονιστικών και μη κανονιστικών φραγμών στην ανάπτυξη της ενέργειας από ανανεώσιμες πηγές,

στ) τα μέτρα που έχουν ληφθεί για τη διασφάλιση της μεταφοράς και της διανομής της ηλεκτρικής ενέργειας που παράγεται από ανανεώσιμες πηγές ενέργειας, και για τη βελτίωση του πλαισίου ή των κανόνων ανάληψης και επιμερισμού του κόστους που αναφέρεται στο άρθρο 16 παράγραφος 3 της οδηγίας 2009/28/ΕΚ,

ζ) την εξέλιξη της διαθεσιμότητας και της χρήσης πόρων βιομάζας για ενεργειακούς σκοπούς,

η) τις αλλαγές στις τιμές βασικών αγαθών και στις χρήσεις γης εντός της χώρας , οι οποίες συνδέονται με την αυξημένη χρήση βιομάζας και άλλων μορφών ενέργειας από ανανεώσιμες πηγές,

θ) την ανάπτυξη και το μερίδιο των βιοκαυσίμων που παράγονται από απόβλητα, υπολείμματα, μη εδώδιμες κυτταρινούχες ύλες και λιγνοκυτταρινούχες ύλες

ι) τον εκτιμώμενο αντίκτυπο της παραγωγής βιοκαυσίμων και βιορευστών στη βιοποικιλότητα, στους υδάτινους πόρους, στην ποιότητα των υδάτων και του εδάφους εντός της χώρας ,

ια) την εκτιμώμενη καθαρή μείωση των εκπομπών αερίων θερμοκηπίου που οφείλεται στη χρήση ενέργειας από ανανεώσιμες πηγές,

ιβ) την εκτιμώμενη πλεονασματική παραγωγή ενέργειας από ανανεώσιμες πηγές σε σχέση με την ενδεικτική πορεία η οποία μπορεί να μεταβιβάζεται σε άλλα κράτη μέλη, καθώς και τις εκτιμώμενες δυνατότητες κοινών έργων, μέχρι το 2020,

ιγ) την εκτιμώμενη ζήτηση για ενέργεια από ανανεώσιμες πηγές, η οποία πρέπει να καλυφθεί με άλλα μέσα πλην της εγχώριας παραγωγής μέχρι το 2020, και

ιδ) πληροφορίες για τον τρόπο με τον οποίο εκτιμήθηκε το βιοαποικοδομήσιμο ποσοστό στα απόβλητα που χρησιμοποιούνται για την παραγωγή ενέργειας, και για τα μέτρα που έχουν ληφθεί για τη βελτίωση και την επαλήθευση των εκτιμήσεων αυτών.

2. Για την εκτίμηση της καθαρής μείωσης των εκπομπών αερίων θερμοκηπίου από τη χρήση βιοκαυσίμων, για τους σκοπούς της έκθεσης, μπορούν να χρησιμοποιούνται οι τυπικές τιμές του Παραρτήματος μέρη Α και Β.3 του ν. … .

3. Στην πρώτη έκθεση, επισημαίνεται κατά πόσον προτίθεται η χώρα:

α) να δημιουργήσει ενιαίο διοικητικό φορέα αρμόδιο για την επεξεργασία των αιτήσεων χορήγησης άδειας, πιστοποίησης και έκδοσης αδειών λειτουργίας για τις εγκαταστάσεις παραγωγής ενέργειας από ανανεώσιμες πηγές, και για την παροχή βοήθειας στους αιτούντες,

β) να προβλέψει την αυτόματη έγκριση των αιτήσεων έκδοσης πολεοδομικής άδειας και άδειας δόμησης για εγκαταστάσεις παραγωγής ενέργειας από ανανεώσιμες πηγές, όταν ο αρμόδιος για την έκδοση τέτοιων αδειών οργανισμός δεν έχει αντιδράσει εντός των καθορισμένων προθεσμιών,

γ) να καθορίσει γεωγραφικές τοποθεσίες κατάλληλες για την εκμετάλλευση ενέργειας από ανανεώσιμες πηγές στον χωροταξικό σχεδιασμό και για την εγκατάσταση τηλεθέρμανσης και τηλεψύξης.

Η πρώτη έκθεση υποβάλλεται το αργότερο έως την 31η Δεκεμβρίου 2011 και η έκτη και τελευταία έκθεση, το αργότερο έως την 31η Δεκεμβρίου 2021.

4. Σε κάθε έκθεση υπάρχει δυνατότητα διόρθωσης των δεδομένων των προηγούμενων εκθέσεων.»

3. Μετά το άρθρο 2Α του ν. 3468/2006 που προστέθηκε με το άρθρο 3 του παρόντος προστίθεται άρθρο 2Β ως ακολούθως:

«Άρθρο 2Β

Εθνικό σχέδιο δράσης για την ανανεώσιμη ενέργεια

1. Με μέριμνα της Υπηρεσίας Εξυπηρέτησης Επενδυτών για έργα Α.Π.Ε. της Γενικής Γραμματείας Ενέργειας και Κλιματικής Αλλαγής του Υπουργείου Περιβάλλοντος, Ενέργειας και Κλιματικής Αλλαγής, καταρτίζεται εθνικό σχέδιο δράσης για τις ανανεώσιμες πηγές ενέργειας, το οποίο εγκρίνεται από τον Υπουργό Περιβάλλοντος, Ενέργειας και Κλιματικής Αλλαγής και υποβάλλεται στην Ευρωπαϊκή Επιτροπή. Το σχέδιο αυτό ορίζει τους εθνικούς συνολικούς στόχους για τα μερίδια της ενέργειας από ανανεώσιμες πηγές που καταναλίσκονται στις μεταφορές, στους τομείς της ηλεκτρικής ενέργειας, της θέρμανσης και ψύξης το 2020, λαμβάνοντας υπόψη τον αντίκτυπο άλλων μέτρων πολιτικής που αφορούν την ενεργειακή απόδοση στην τελική κατανάλωση ενέργειας και τα κατάλληλα μέτρα που πρέπει να ληφθούν για την επίτευξη των εν λόγω εθνικών συνολικών στόχων, συμπεριλαμβανομένων της συνεργασίας μεταξύ τοπικών, περιφερειακών και εθνικών αρχών, των προγραμματιζόμενων στατιστικών μεταβιβάσεων ή κοινών έργων, εθνικών πολιτικών για την ανάπτυξη των υφιστάμενων πόρων βιομάζας και την εκμετάλλευση νέων πόρων βιομάζας για διαφορετικές χρήσεις, καθώς και τα μέτρα που πρέπει να ληφθούν για την τήρηση των απαιτήσεων των άρθρων 13 έως 19 της Οδηγίας 2009/28/ΕΚ.

2. Για την παρακολούθηση της πορείας επίτευξης του στόχου για το μερίδιο ενέργειας από ανανεώσιμες πηγές στην ακαθάριστη τελική κατανάλωση ενέργειας το 2020, όπως αυτός καθορίζεται σύμφωνα με την Οδηγία 2009/28/ΕΚ κατ’ ελάχιστον στο 18%, εγκρίνεται ενδεικτική πορεία σύμφωνα με το εθνικό σχέδιο δράσης της παρ. 1.

3. Σε περίπτωση που το μερίδιο της ενέργειας από ανανεώσιμες πηγές πέσει κάτω από την ενδεικτική πορεία κατά την αμέσως προηγούμενη διετία που αναφέρεται στο εθνικό σχέδιο δράσης της παρ. 1, υποβάλλεται στην Ευρωπαϊκή Επιτροπή, έως τις 30 Ιουνίου του επόμενου έτους, τροποποιημένο σχέδιο δράσης για την ανανεώσιμη ενέργεια στο οποίο εκτίθενται κατάλληλα και ανάλογα μέτρα με σκοπό την ανάκτηση, εντός εύλογου χρονικού διαστήματος, της ενδεικτικής πορείας του σχεδίου αυτού.»

4. Στο ν. 3468/2006 όπως ισχύει, προστίθενται Παραρτήματα 1, 2 και 3 ως ακολούθως:

«Παράρτημα 1

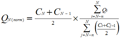
Κανονικοποίηση για τον καταλογισμό της παραγωγής υδροηλεκτρικής και αιολικής ηλεκτρικής ενέργειας

Για τον καταλογισμό της υδροηλεκτρικής ενέργειας που παράγεται στην επικράτεια, εφαρμόζεται ο ακόλουθος κανόνας:

όπου:

N = έτος αναφοράς

QN(norm) = κανονικοποιημένη ποσότητα ηλεκτρικής ενέργειας που έχει παραχθεί από όλους τους υδροηλεκτρικούς σταθμούς το έτος Ν, για λογιστικούς σκοπούς

Qi = η ποσότητα ηλεκτρικής ενέργειας που όντως παράγουν το έτος i όλοι οι υδροηλεκτρικοί σταθμοί, μετρούμενη σε GWh, εξαιρουμένης της ηλεκτρικής ενέργειας που παράγεται με συστήματα αποθήκευσης μέσω άντλησης από νερό που έχει προηγουμένως αντληθεί στον άνω ταμιευτήρα

Ci = η συνολική εγκατεστημένη ισχύς, αφαιρουμένων των συστημάτων αποθήκευσης μέσω άντλησης, όλων των υδροηλεκτρικών σταθμών στο τέλος του έτους i, μετρούμενη σε MW.

Για τον καταλογισμό της αιολικής ηλεκτρικής ενέργειας που παράγεται στην επικράτεια, εφαρμόζεται ο ακόλουθος κανόνας:

όπου:

N = έτος αναφοράς

QN(norm) = κανονικοποιημένη ποσότητα ηλεκτρικής ενέργειας που έχει παραχθεί από όλους τους αιολικούς σταθμούς το έτος Ν, για λογιστικούς σκοπούς

Qi = η ποσότητα ηλεκτρικής ενέργειας που όντως παράγουν το έτος i όλοι οι αιολικοί σταθμοί, μετρούμενη σε GWh

Ci = η συνολική εγκατεστημένη ισχύς όλων των αιολικών σταθμών στο τέλος του έτους i, μετρούμενη σε MW

n = 4 ή ο αριθμός ετών που προηγούνται του έτους N για το οποίο υπάρχουν δεδομένα εγκατεστημένης ισχύος και παραγωγής, εάν ο αριθμός αυτός είναι χαμηλότερος.

Παράρτημα 2

Καταλογισμός της παραγωγής ενέργειας από αντλίες θερμότητας

Το ποσό της αεροθερμικής, γεωθερμικής ή υδροθερμικής ενέργειας που δεσμεύεται από αντλίες θερμότητας και μπορεί να θεωρηθεί ενέργεια από ανανεώσιμες πηγές για τους σκοπούς του παρόντος νόμου, ERES, υπολογίζεται σύμφωνα με τον ακόλουθο τύπο:

ERES = Qusable * (1-1/SPF)

όπου:

– Qusable = η υπολογιζόμενη συνολική χρήσιμη θερμική ενέργεια από αντλίες θερμότητας σύμφωνα με τα κριτήρια του άρθρου … παράγραφος …, εφαρμόζεται ως εξής: λαμβάνονται υπόψη μόνο αντλίες θερμότητας για τις οποίες SPF > 1.15 * 1/η

– SPF = ο υπολογιζόμενος παράγοντας μέσης εποχιακής απόδοσης για τις συγκεκριμένες αντλίες θερμότητας.

– η είναι ο λόγος μεταξύ της συνολικής ακαθάριστης παραγωγής ενέργειας και της κατανάλωσης πρωτογενούς ενέργειας για παραγωγή ηλεκτρικής ενέργειας και υπολογίζεται ως μέσος όρος της ΕΕ επί τη βάσει στοιχείων της Eurostat.

Για τον υπολογισμό των Qusable και SPF, λαμβάνοντας υπόψη τις διαφορετικές περιβαλλοντικές συνθήκες θα χρησιμοποιηθούν οι κατευθυντήριες γραμμές που θα θεσπιστούν από την Ευρωπαϊκή Επιτροπή, μόλις αυτές είναι διαθέσιμες.

Παράρτημα 3

Ενεργειακό περιεχόμενο των καυσίμων κίνησης (για τις μεταφορές)

Καύσιμο

Ενεργειακό
περιεχόμενο κατά βάρος

 (κατώτερη
θερμογόνος δύναμη, MJ/kg)

Ενεργειακό
περιεχόμενο

κατ’ όγκο

(κατώτερη
θερμογόνος δύναμη, MJ/l)

Βιοαιθανόλη (αιθανόλη που παράγεται από
βιομάζα)

27

21

Βιο-ΕΤΒΕ (αιθυλοτριτοβουτυλαιθέρας που
παράγεται από βιοαιθανόλη)

36 (εκ των οποίων
37% από ανανεώσιμες πηγές)

27 (εκ των οποίων
37% από ανανεώσιμες πηγές)

Βιομεθανόλη (μεθανόλη που παράγεται από
βιομάζα, για χρήση ως βιοκαύσιμο)

20

16

Βιο-ΜΤΒΕ (μεθυλοτριτοβουτυλαιθέρας που
παράγεται από βιομεθανόλη)

35 (εκ των οποίων
22% από ανανεώσιμες πηγές)

26 (εκ των οποίων
22% από ανανεώσιμες πηγές)

Βιο-ΔΜΕ (διμεθυλαιθέρας που παράγεται από
βιομάζα, για χρήση ως βιοκαύσιμο)

28

19

Βιο-ΤΑΕΕ (τριταμυλαιθυλαιθέρας που
παράγεται από βιοαιθανόλη)

38 (εκ των οποίων
29% από ανανεώσιμες πηγές)

29 (εκ των οποίων
29% από ανανεώσιμες πηγές)

Βιοβουτανόλη (βουτανόλη που παράγεται από
βιομάζα, για χρήση ως βιοκαύσιμο)

33

27

Βιοντίζελ (μεθυλεστέρας που παράγεται από
φυτικά ή ζωικά έλαια, ποιότητας ντίζελ, για χρήση ως βιοκαύσιμο)

37

33

Ντίζελ Fischer-Tropsch (συνθετικός
υδρογονάνθρακας ή μείγμα συνθετικών υδρογονανθράκων που παράγεται από
βιομάζα)

44

34

Υδρογονοκατεργασμένα φυτικά έλαια (φυτικά
έλαια που έχουν υποβληθεί σε θερμοχημική κατεργασία με υδρογόνο)

44

34

Καθαρά φυτικά έλαια (έλαια από ελαιούχα
φυτά, παραγόμενα με συμπίεση, έκθλιψη ή ανάλογες μεθόδους, φυσικά ή
εξευγενισμένα αλλά μη χημικώς τροποποιημένα, όταν είναι συμβατά με τον τύπο
του οικείου κινητήρα και τις αντίστοιχες απαιτήσεις όσον αφορά τις εκπομπές)

37

34

Βιοαέριο (καύσιμο αέριο που παράγεται από
βιομάζα ή/και από το βιοαποικοδομήσιμο κλάσμα αποβλήτων, το οποίο μπορεί να
καθαριστεί και να αναβαθμιστεί σε ποιότητα φυσικού αερίου, για χρήση ως
βιοκαύσιμο, ή ξυλαέριο)

50

Βενζίνη

43

32

Ντίζελ

43

36

  • 19 Ιανουαρίου 2012, 09:48 | Χατζηαθανασίου Αρτέμιος

    Άρθρο 9 Παραρτήματα 1,2 & 3 συμπλήρωση στο ν. 3468/2006 και άρθρο 12 για Παραρτήματα V & VΙ της Οδηγίας 2009/28/ΕΚ.
    Η παρατήρηση αφορά τον λόγο της ενσωμάτωσης των συγκεκριμένων Παραρτημάτων π.χ. καταλογισμού παραγωγής ενέργειας ή υπολογισμού των εκπομπών αερίων του θερμοκηπίου με την μεθοδολογία αυτού. Αναρωτιόμαστε κατά πόσο είναι απαραίτητο σε ένα κείμενο που θα ψηφισθεί από τη Βουλή των Ελλήνων και θα γίνει σε υψηλό επίπεδο νομική δέσμευση της χώρας, να περιλαμβάνει λεπτομέρειες εξισώσεων και τελεστών υπόθεσης καθώς και πίνακες τυπικών τιμών απόκλισης κάποιας Οδηγίας. Τα συγκεκριμένα παραρτήματα με το περιεχόμενο αυτών τα οποία είναι αυτούσια και προέρχονται από τα παρατήματα Οδηγίας, μπορούν να περιληφθούν κατά την έκδοση κάποιας ΚΥΑ ή ακόμη και ΥΑ.

    Δεν είμαι νομικός όμως αν υποθέσουμε ότι ο ΕΟΠ της Κοπεγχάγης ή ο ΙSPRA της Ιταλίας σε μία ενδεχόμενη επανεξέταση /προσέγγιση που θα διαφοροποιήσει την μεθοδολογία υπολογισμού των εκπομπών αερίου του θερμοκηπίου τότε πιθανόν να ακολουθήσει μία τροποποίηση της Οδηγίας. Άραγε αυτό πρέπει να περάσει από την Βουλή των Ελλήνων για να συμπληρωθεί ο τότε νόμος του παρόντος προσχεδίου;